Statistik 2: Demo

Demoscript herunterladen (.R)

Demoscript herunterladen (.qmd)

ANOVA

t-test als ANOVA

# Dieselben Daten wie für die t-Tests in Statistik 1
Messwerte_a <- c(20, 19, 25, 10, 8, 15, 13, 18, 11, 14) 
Messwerte_b <- c(12, 15, 16, 7, 8, 10, 12, 11, 13, 10) 
cultivar <- factor(rep( c("Andro", "Bulli"), each = 10))
blume <- data.frame("cultivar" = cultivar, "size" = c(Messwerte_a, Messwerte_b) ) 

# Daten anschauen
library(ggplot2)

ggplot(blume, aes(cultivar, size)) +
  geom_boxplot() +
  stat_summary(fun = mean, geom = "point")

# Klassischer t-Test ausführen
t.test(size ~ cultivar, var.equal = TRUE, data = blume)

    Two Sample t-test

data:  size by cultivar
t = 2.0797, df = 18, p-value = 0.05212
alternative hypothesis: true difference in means between group Andro and group Bulli is not equal to 0
95 percent confidence interval:
 -0.03981237  7.83981237
sample estimates:
mean in group Andro mean in group Bulli 
               15.3                11.4 
# ANOVA ausführen
aov_1 <- aov(size ~ cultivar, data = blume)
aov_1
Call:
   aov(formula = size ~ cultivar, data = blume)

Terms:
                cultivar Residuals
Sum of Squares     76.05    316.50
Deg. of Freedom        1        18

Residual standard error: 4.193249
Estimated effects may be unbalanced
summary(aov_1)
            Df Sum Sq Mean Sq F value Pr(>F)  
cultivar     1   76.0   76.05   4.325 0.0521 .
Residuals   18  316.5   17.58                 
---
Signif. codes:  0 '***' 0.001 '**' 0.01 '*' 0.05 '.' 0.1 ' ' 1
summary.lm(aov_1)

Call:
aov(formula = size ~ cultivar, data = blume)

Residuals:
   Min     1Q Median     3Q    Max 
-7.300 -2.575 -0.350  2.925  9.700 

Coefficients:
              Estimate Std. Error t value Pr(>|t|)    
(Intercept)     15.300      1.326   11.54 9.47e-10 ***
cultivarBulli   -3.900      1.875   -2.08   0.0521 .  
---
Signif. codes:  0 '***' 0.001 '**' 0.01 '*' 0.05 '.' 0.1 ' ' 1

Residual standard error: 4.193 on 18 degrees of freedom
Multiple R-squared:  0.1937,    Adjusted R-squared:  0.1489 
F-statistic: 4.325 on 1 and 18 DF,  p-value: 0.05212

Echte ANOVA

# Ein weiterer Cultivar hinzufügen
Messwerte_c <- c(30, 19, 31, 23, 18, 25, 26, 24, 17, 20)
cultivar <- factor( rep( c("Andro", "Bulli", "Chroma"), each = 10))
blume2 <- data.frame("cultivar" = cultivar, 
                      "size" = c(Messwerte_a, Messwerte_b, Messwerte_c)) 


# Daten als Boxplots anschauen
ggplot(blume2, aes(cultivar, size)) +
  geom_boxplot() +
  stat_summary(fun = mean, geom = "point") 

Kennzahlen der Daten anschauen

library("dplyr")
blume2 |> 
  group_by(cultivar) |>
  summarise(
    Mean = mean(size), 
    SD = sd(size),
    Min = min(size),
    Max = max(size)
  )
# A tibble: 3 × 5
  cultivar  Mean    SD   Min   Max
  <fct>    <dbl> <dbl> <dbl> <dbl>
1 Andro     15.3  5.21     8    25
2 Bulli     11.4  2.84     7    16
3 Chroma    23.3  4.85    17    31
# ANOVA durchführen
aov_2 <- aov(size ~ cultivar, data = blume2)

summary(aov_2)
            Df Sum Sq Mean Sq F value   Pr(>F)    
cultivar     2  736.1   368.0    18.8 7.68e-06 ***
Residuals   27  528.6    19.6                     
---
Signif. codes:  0 '***' 0.001 '**' 0.01 '*' 0.05 '.' 0.1 ' ' 1
summary.lm(aov_2)

Call:
aov(formula = size ~ cultivar, data = blume2)

Residuals:
   Min     1Q Median     3Q    Max 
-7.300 -3.375 -0.300  2.700  9.700 

Coefficients:
               Estimate Std. Error t value Pr(>|t|)    
(Intercept)      15.300      1.399  10.935 2.02e-11 ***
cultivarBulli    -3.900      1.979  -1.971 0.059065 .  
cultivarChroma    8.000      1.979   4.043 0.000395 ***
---
Signif. codes:  0 '***' 0.001 '**' 0.01 '*' 0.05 '.' 0.1 ' ' 1

Residual standard error: 4.425 on 27 degrees of freedom
Multiple R-squared:  0.582, Adjusted R-squared:  0.5511 
F-statistic:  18.8 on 2 and 27 DF,  p-value: 7.683e-06
# Direkt als lineares Modell
lm_1 <- lm(size ~ cultivar, data = blume2)
summary(lm_1)

Call:
lm(formula = size ~ cultivar, data = blume2)

Residuals:
   Min     1Q Median     3Q    Max 
-7.300 -3.375 -0.300  2.700  9.700 

Coefficients:
               Estimate Std. Error t value Pr(>|t|)    
(Intercept)      15.300      1.399  10.935 2.02e-11 ***
cultivarBulli    -3.900      1.979  -1.971 0.059065 .  
cultivarChroma    8.000      1.979   4.043 0.000395 ***
---
Signif. codes:  0 '***' 0.001 '**' 0.01 '*' 0.05 '.' 0.1 ' ' 1

Residual standard error: 4.425 on 27 degrees of freedom
Multiple R-squared:  0.582, Adjusted R-squared:  0.5511 
F-statistic:  18.8 on 2 and 27 DF,  p-value: 7.683e-06

Tukeys Posthoc-Test

# Load library
library("agricolae")

# ANOVA und Posthoc-Test durchführen
aov_2 <- aov(size ~ cultivar, data = blume2)
HSD.test(aov_2, "cultivar", console = TRUE, group = FALSE)

Study: aov_2 ~ "cultivar"

HSD Test for size 

Mean Square Error:  19.57778 

cultivar,  means

       size      std  r       se Min Max   Q25  Q50   Q75
Andro  15.3 5.207900 10 1.399206   8  25 11.50 14.5 18.75
Bulli  11.4 2.836273 10 1.399206   7  16 10.00 11.5 12.75
Chroma 23.3 4.854551 10 1.399206  17  31 19.25 23.5 25.75

Alpha: 0.05 ; DF Error: 27 
Critical Value of Studentized Range: 3.506426 

Comparison between treatments means

               difference pvalue signif.        LCL       UCL
Andro - Bulli         3.9 0.1388          -1.006213  8.806213
Andro - Chroma       -8.0 0.0011      ** -12.906213 -3.093787
Bulli - Chroma      -11.9 0.0000     *** -16.806213 -6.993787
posthoc <- HSD.test(aov_2, "cultivar", console = TRUE)

Study: aov_2 ~ "cultivar"

HSD Test for size 

Mean Square Error:  19.57778 

cultivar,  means

       size      std  r       se Min Max   Q25  Q50   Q75
Andro  15.3 5.207900 10 1.399206   8  25 11.50 14.5 18.75
Bulli  11.4 2.836273 10 1.399206   7  16 10.00 11.5 12.75
Chroma 23.3 4.854551 10 1.399206  17  31 19.25 23.5 25.75

Alpha: 0.05 ; DF Error: 27 
Critical Value of Studentized Range: 3.506426 

Minimun Significant Difference: 4.906213 

Treatments with the same letter are not significantly different.

       size groups
Chroma 23.3      a
Andro  15.3      b
Bulli  11.4      b
posthoc
$statistics
   MSerror Df     Mean       CV      MSD
  19.57778 27 16.66667 26.54807 4.906213

$parameters
   test   name.t ntr StudentizedRange alpha
  Tukey cultivar   3         3.506426  0.05

$means
       size      std  r       se Min Max   Q25  Q50   Q75
Andro  15.3 5.207900 10 1.399206   8  25 11.50 14.5 18.75
Bulli  11.4 2.836273 10 1.399206   7  16 10.00 11.5 12.75
Chroma 23.3 4.854551 10 1.399206  17  31 19.25 23.5 25.75

$comparison
NULL

$groups
       size groups
Chroma 23.3      a
Andro  15.3      b
Bulli  11.4      b

attr(,"class")
[1] "group"
# Darstellung der Ergebnisse mit Post-Hoc-Labels über Boxplots

# Labels des Posthoc-Tests extrahieren
labels <- posthoc$groups
labels$cultivar <- rownames(labels)

# In Plot darstellen
ggplot(blume2, aes(cultivar, size)) +
  geom_boxplot() +
  geom_text(data = labels, aes(x = cultivar, y = 33, label = groups)) +
  stat_summary(fun = mean, geom = "point") 

2-faktorielle ANOVA

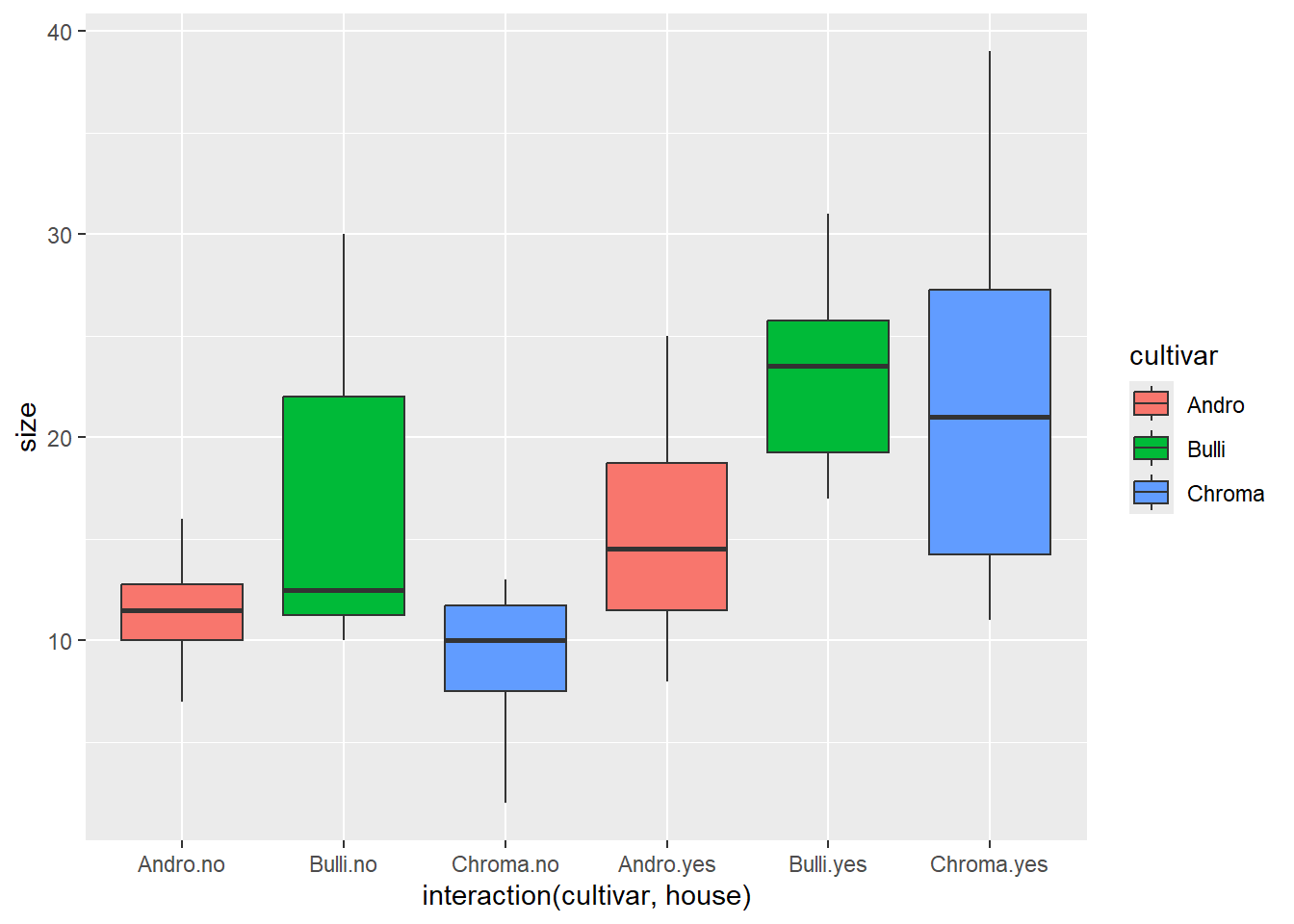
# Daten generieren
Messwerte_d <- c(10, 12, 11, 13, 10, 25, 12, 30, 26, 13)
Messwerte_e <- c(15, 13, 18, 11, 14, 25, 39, 38, 28, 24)
Messwerte_f <- c(10, 12, 11, 13, 10, 9, 2, 4, 7, 13)

blume3 <- data.frame(
    cultivar = c( rep("Andro", 20), rep("Bulli", 20), rep("Chroma", 20)),
    house = factor( c(rep(c(rep("yes", 10), rep("no", 10)), 3))),
    size = c(Messwerte_a, Messwerte_b, Messwerte_c, Messwerte_d, Messwerte_e, Messwerte_f)
)

blume3
   cultivar house size
1     Andro   yes   20
2     Andro   yes   19
3     Andro   yes   25
4     Andro   yes   10
5     Andro   yes    8
6     Andro   yes   15
7     Andro   yes   13
8     Andro   yes   18
9     Andro   yes   11
10    Andro   yes   14
11    Andro    no   12
12    Andro    no   15
13    Andro    no   16
14    Andro    no    7
15    Andro    no    8
16    Andro    no   10
17    Andro    no   12
18    Andro    no   11
19    Andro    no   13
20    Andro    no   10
21    Bulli   yes   30
22    Bulli   yes   19
23    Bulli   yes   31
24    Bulli   yes   23
25    Bulli   yes   18
26    Bulli   yes   25
27    Bulli   yes   26
28    Bulli   yes   24
29    Bulli   yes   17
30    Bulli   yes   20
31    Bulli    no   10
32    Bulli    no   12
33    Bulli    no   11
34    Bulli    no   13
35    Bulli    no   10
36    Bulli    no   25
37    Bulli    no   12
38    Bulli    no   30
39    Bulli    no   26
40    Bulli    no   13
41   Chroma   yes   15
42   Chroma   yes   13
43   Chroma   yes   18
44   Chroma   yes   11
45   Chroma   yes   14
46   Chroma   yes   25
47   Chroma   yes   39
48   Chroma   yes   38
49   Chroma   yes   28
50   Chroma   yes   24
51   Chroma    no   10
52   Chroma    no   12
53   Chroma    no   11
54   Chroma    no   13
55   Chroma    no   10
56   Chroma    no    9
57   Chroma    no    2
58   Chroma    no    4
59   Chroma    no    7
60   Chroma    no   13
# Daten mit Boxplots anschauen
ggplot(blume3, aes(x = interaction(cultivar, house), y = size, fill = cultivar)) +
  geom_boxplot() 

aov_3 <- aov(size ~ cultivar + house, data = blume3)
summary(aov_3)
            Df Sum Sq Mean Sq F value   Pr(>F)    
cultivar     2  417.1   208.5   5.005     0.01 *  
house        1  992.3   992.3  23.815 9.19e-06 ***
Residuals   56 2333.2    41.7                     
---
Signif. codes:  0 '***' 0.001 '**' 0.01 '*' 0.05 '.' 0.1 ' ' 1
aov_4a <- aov(size ~ cultivar + house + cultivar:house, data = blume3)
summary(aov_4a)
               Df Sum Sq Mean Sq F value   Pr(>F)    
cultivar        2  417.1   208.5   5.364   0.0075 ** 
house           1  992.3   992.3  25.520 5.33e-06 ***
cultivar:house  2  233.6   116.8   3.004   0.0579 .  
Residuals      54 2099.6    38.9                     
---
Signif. codes:  0 '***' 0.001 '**' 0.01 '*' 0.05 '.' 0.1 ' ' 1
# Kurzschreibweise: "*" bedeutet, dass Interaktion zwischen cultivar und house eingeschlossen wird
aov_4b <- aov(size ~ cultivar * house, data = blume3)
summary(aov_4b)
               Df Sum Sq Mean Sq F value   Pr(>F)    
cultivar        2  417.1   208.5   5.364   0.0075 ** 
house           1  992.3   992.3  25.520 5.33e-06 ***
cultivar:house  2  233.6   116.8   3.004   0.0579 .  
Residuals      54 2099.6    38.9                     
---
Signif. codes:  0 '***' 0.001 '**' 0.01 '*' 0.05 '.' 0.1 ' ' 1
summary.lm(aov_4b)

Call:
aov(formula = size ~ cultivar * house, data = blume3)

Residuals:
    Min      1Q  Median      3Q     Max 
-11.500  -4.325  -0.300   3.075  16.500 

Coefficients:
                        Estimate Std. Error t value Pr(>|t|)    
(Intercept)               11.400      1.972   5.781 3.81e-07 ***
cultivarBulli              4.800      2.789   1.721   0.0909 .  
cultivarChroma            -2.300      2.789  -0.825   0.4131    
houseyes                   3.900      2.789   1.399   0.1677    
cultivarBulli:houseyes     3.200      3.944   0.811   0.4207    
cultivarChroma:houseyes    9.500      3.944   2.409   0.0194 *  
---
Signif. codes:  0 '***' 0.001 '**' 0.01 '*' 0.05 '.' 0.1 ' ' 1

Residual standard error: 6.236 on 54 degrees of freedom
Multiple R-squared:  0.439, Adjusted R-squared:  0.3871 
F-statistic: 8.451 on 5 and 54 DF,  p-value: 5.86e-06
# Interaktionsplots
ggplot(blume3, aes(cultivar, size, color = house, group = house)) +
  stat_summary(fun = mean, geom = "point", size = 3) +
  stat_summary(fun = mean, geom = "line", linewidth = 1) 

ggplot(blume3, aes(house, size, color = cultivar, group = cultivar)) +
  stat_summary(fun = mean, geom = "line", size = 1) +
  stat_summary(fun = mean, geom = "point", size = 3) 

Modelldiagnostik

Beispiel Modelldiagnostik

# 4 Plots in einem Fenster
par(mfrow = c(2, 2))

plot(aov_4b)

Nicht-parametrische Alternativen, wenn Modellannahmen massiv verletzt sind

# Nicht-parametrische Alternative zu t-Test

library(coin)
wilcox_test(size ~ cultivar, data = blume) 

    Asymptotic Wilcoxon-Mann-Whitney Test

data:  size by cultivar (Andro, Bulli)
Z = 1.7445, p-value = 0.08106
alternative hypothesis: true mu is not equal to 0

Kruskal-Wallis-Test bei starken Abweichungen von der Normalverteilung, aber ähnlichen Varianzen

# Zum Vergleich normale ANOVA noch mal
summary(aov_2)
            Df Sum Sq Mean Sq F value   Pr(>F)    
cultivar     2  736.1   368.0    18.8 7.68e-06 ***
Residuals   27  528.6    19.6                     
---
Signif. codes:  0 '***' 0.001 '**' 0.01 '*' 0.05 '.' 0.1 ' ' 1
# Kruskal-Wallis-Test
kruskal_test(size ~ cultivar, data = blume2)

    Asymptotic Kruskal-Wallis Test

data:  size by cultivar (Andro, Bulli, Chroma)
chi-squared = 16.686, df = 2, p-value = 0.0002381
library("FSA")
# Post-Hoc mit korrigierten p-Werte nach Bejamini-Hochberg
dunnTest(size ~ cultivar, method = "bh", data = blume2)
      Comparison         Z      P.unadj        P.adj
1  Andro - Bulli  1.526210 1.269575e-01 0.1269575490
2 Andro - Chroma -2.518247 1.179407e-02 0.0176911039
3 Bulli - Chroma -4.044457 5.244459e-05 0.0001573338

Welch-Test bei erheblicher Heteroskedastizität, aber relative normal/symmetrisch verteilten Residuen

# Welch-Test
oneway.test(size ~ cultivar, var.equal = F, data = blume2)

    One-way analysis of means (not assuming equal variances)

data:  size and cultivar
F = 21.642, num df = 2.000, denom df = 16.564, p-value = 2.397e-05